
RESUMEN
Este articulo describe no solo la cualidad oxidante del ozono sino también su poder de preservación de las frutas y vegetales ya que retrasa la maduración prolongando el tiempo de almacenaje, lo cual se produce mediante la destrucción del etileno transformándolo en dióxido de carbono y agua. Se concluye que al implementar este tipo de tecnología en la pos cosecha de frutas y verduras además de alargar la vida útil de las mismas el ozono presente en su superficie actúa como desinfectante.
1. INTRODUCCION
De acuerdo a la Organización de las Naciones Unidas para la Alimentación y la Agricultura (FAO), el sector de frutas y hortalizas en el Ecuador ha mostrado un incremento en su participación tributando el 16% al PIB del país, esto sin considerar la producción de papas y banano (1), este porcentaje tendría un mayor incremento si se aplicara un método de conservación eficiente a dichos productos eliminando el etileno cuya producción es inherente en la post cosecha de los mismos.
2. EL ETILENO EN EL CRECIMIENTO Y DESARROLLO DE LAS PLANTAS
A partir de los estudios de Neljubow, los investigadores han demostrado que muchas fases del crecimiento y desarrollo de las plantas están afectadas por el etileno; el mismo que:
- Estimula la germinación de algunas semillas latentes.
- Estimula el crecimiento de raíces.
- Puede estimular la floración.
- A menudo dispara la maduración y abscisión de frutos. (2)
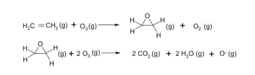
3. CONSERVACIÓN DE FRUTAS Y VEGETALES MEDIANTE OZONIFICACIÓN El OZONO juega un papel único en la prolongación del tiempo de almacenaje de muchos frutos y vegetales durante su maduración. Este reacciona rápidamente con el etileno; inicialmente formando un producto intermedio (óxido de etileno), el cual rompe el enlace carbono para producir dióxido de carbono y agua.

Figura 1. Reacción química de la eliminación de etileno.
El uso potencial del ozono para preservar alimentos en contenedores permite un gran avance en el uso de este gas para la conservación de alimentos perecederos durante el transporte.
La posibilidad de dotar a los medios de transporte de sistemas de generadores de ozono con control automático, significaría que puede ser utilizado en camiones frigoríficos, contenedores, etc (3) y SANITRON ofrece este tipo de sistemas.
Ecuador al ser uno de los países líderes en producción de las diversas frutas y verduras en cada región, las plantas procesadoras de los mismos deberían considerar el uso de esta tecnología para dar un valor agregado al producto y hacer más eficiente su sistema y poder beneficiarse de las ventajas del ozono en la conservación de los mismos.

